پکیج تصفیه فاضلاب چیست؟
پکیج تصفیه فاضلاب دستگاهی است که بار آلی و میکروبی پساب خروجی از مجتمعهای مسکونی، ادارای، تجاری، بیمارستان و… را به کمک عملیات تصفیه فیزیکی، شیمیایی، بیولوژیکی و هوادهی کاهش داده یا حذف مینماید. پس از اتمام عملیات تصفیه در نهایت این سیستم پسابی زلال، بی بو و قابل تخلیه در طبیعت به عنوان خروجی ارائه میکند.

روشهای مختلف تصفیه فاضلاب
تصفیه فاضلاب فرایندی است که در آن آلایندهها، مواد سمی و عوامل بیماریزا از آب حذف میشوند تا امکان استفاده مجدد از آن فراهم گردد. اهمیت این کار به دلیل کاهش منابع آب شیرین روزبهروز بیشتر میشود و هم در صنایع و هم در مصارف خانگی کاربرد حیاتی دارد.
روشهای اصلی تصفیه فاضلاب شامل فیزیکی، شیمیایی و بیولوژیکی هستند. در روش فیزیکی از فیلترهای شنی، تهنشینی یا اسمز معکوس برای جداسازی ذرات درشت و گاهی ریز استفاده میشود. روش شیمیایی با کمک موادی مانند کلر یا گاز اوزون، آلایندهها را منعقد و حذف میکند، هرچند هزینه بیشتری دارد و به تخصص نیازمند است. روش بیولوژیکی با بهرهگیری از باکتریهای مفید، آلایندههای آلی و میکروبهای بیماریزا را تجزیه میکند که به دو صورت هوازی و بیهوازی انجام میشود و راندمان بالایی دارد.
امروزه فناوریهای نوین مانند پلاسما و انرژی الکتریکی نیز برای افزایش کیفیت آب بهکار گرفته میشوند. بسته به نوع مصرف، صنایع گاهی تنها به تصفیه نسبی و حذف ذرات درشت نیاز دارند، اما در مصارف خانگی باید از پیشرفتهترین روشها برای دستیابی به آب سالم و حتی قابل شرب استفاده شود. به طور کلی، تصفیه فاضلاب راهکاری مؤثر و مقرونبهصرفه برای حفظ منابع ارزشمند آب و تأمین نیازهای روزافزون بشر است.

طراحی پکیج تصفیه فاضلاب
نوع فرآیندی که در طراحی پکیجهای تصفیه فاضلاب مورد استفاده قرار می گیرد به پارامترهای زیر وابسته است:
- میزان آلایندگی فاضلاب ورودی طبق شاخصهای BOD و COD.
- نوع استفاده از پساب خروجی از پکیج.
- میزان فاضلاب ورودی و هم چنین اطلاعات زمین شناسی و محل استقرار.
- برند تجهیزات مکانیکال و الکترومکانیکال مورد استفاده
- متراژ زمینی که بدین منظور اختصاص داده شده است.
- جنس بدنه دستگاه متناسب به محیط محل نصب
- و در نهایت فرآیند تصفیه فاضلاب که مورد استفاده قرار میگیرد.
جمعیت معادل در تصفیه فاضلاب، یک عدد است که بیان کننده نسبت مجموع بار آلودگی تولید شده طی 24 ساعت توسط تأسیسات و خدمات صنعتی به بار آلودگی فردی در فاضلاب خانگی است که توسط یک فرد در زمان مشابه تولید می شود.
برای محاسبات عملی، فرض بر این است که یک واحد برابر است با 54 گرم BOD در هر 24 ساعت است.

اجزای دستگاه تصفیه فاضلاب
اجزاء مشترک پکیجهای فاضلاب اعم از انسانی، بهداشتی، صنعتی و… عبارتند از:
- واحد آشغالگیری و دانه گیری تصفیه خانه فاضلاب
- بخش متعادل سازی و تنظیم جریان ورودی به پکیج
- ایستگاه پمپاژ یکنواخت فاضلاب
- واحد کنترل pH
- واحد بیولوژیکی (هوازی با غیر هوازی)
- سیستم هوادهی از طریق بلوئرها و دیفیوزرها
- مخزن ته نشینی تودههای بیولوژیکی
- واحد ذخیره و هاضم لجن
- قسمت ضدعفونی از طریق نصب کلریناتور و یا ازن ژنراتور
- واحدی بمنظور کنترل بخشهای مختلف الکتریکی از طریق نصب تابلو کنترل
بخشهای مختلف دستگاه تصفیه فاضلاب در ادامه آورده شده است:
- واحد متعادل کننده: در ابتدا پساب توسط واحد متعادل کننده مخلوط شده؛ پمپاژ و انتقال فاضلاب به محل ورودی پکیج انجام می شود. در این مرحله استفاده از آشغالگیر جهت حذف آشغال و ذرات دانه درشت تاثیرگذار می باشد. سپس در واحد انوکسیک با کمبود اکسیژن، یون نیترات موجود شکسته و تبدیل به گاز نیتروژن میشود و پساب به یک راکتور بیولوژیکی منتقل میشود. پساب جمع آوری شده از منابع تولید فاضلاب ابتدا در یک واحد متعادل کننده با هم مخلوط میشود. این واحد ایستگاه پمپاژ فاضلاب نام دارد.
- واحد هوادهی: در این بخش با اکسیژن دهی به فاضلاب و با استفاده از پکینگ مدیا (IFAS)، میکروارگانیسم ها رشد کرده و توده لجن تشکیل میشود. توده لجن تولید شده از مواد غذایی فاضلاب استفاده کرده و باعث کاهش بار آلودگی پساب میشود. تودههای لجن تشکیل شده توسط پمپ به واحد هوادهی بازگشت داده میشود. لجن مازاد نیز به واحد هضم لجن منتقل میشود.
- واحد تهنشینی: در این قسمت تودههای لجن تشکیل شده با کمک پمپهای مناسب به واحد هوادهی بازگشت داده میشود. لجن مازاد نیز به واحد هضم لجن منتقل میشود.
- واحد ضدعفونی کننده: پساب خروجی از واحد تهنشینی جهت استریل شدن و حذف میکروبهای باقی مانده، با استفاده از کلر زن یا ازن ژنراتور، و یا در تماس با اشعه UV، ضد عفونی میشود تا آماده تخلیه به محیط زیست شود.

مزایای پکیج های فاضلاب
در زیر به شکل خلاصه مزیتهای استفاده از پکیجهای تصفیه فاضلاب آورده شده است.
- کارایی بسیار بالا در تصفیه فاضلاب مطابق استانداردهای سازمان حفاظت محیط زیست
- قیمت مناسب تر پکیج در دبی های کمتر از 500m³/d نسبت به تصفیه خانه بتنی
- پرتابل بودن و امکان جابجایی پکیج حتی پس از نصب و راه اندازی.
- سرعت بالا در ساخت و نصب و راه اندازی
- اشغال کمترین فضا
- برخورداری از کلیه تجهیزات و سیستمهای مورد نیاز تصفیه و عدم نیاز به هیچ گونه لوازم و تجهیزات جانبی دیگر.
- امکان بهره برداری ساده و کم هزینه
- سهولت ارتقاء ظرفیت پکیج و اعمال هرگونه تغییر حتی در زمان بهره برداری.
- دسترسی به کلیه لوازم یدکی پکیج و هزینه کم تعمیر و نگهداری.
- امکان ساخت در تمامی ابعاد دلخواه با توجه به فضای در دسترس.
- عدم تولید بوی نامطبوع به سبب کارکرد مداوم سیستمهای هوادهی.
- عدم نیاز به انجام عملیات ساختمانی سنگین در محل اجرای پروژه.
- سازگاری با آب و هوای اکثر مناطق کشور.
- تامین کم هزینه آب مورد نیاز صنایع و مشاغل در مصارف غیر شرب
- فاضلاب آلوده و سمی کمتری وارد طبیعت شده و آسیب کمتر به محیط زیست
- کارایی بالا در محیطهای صنعتی با مواد آلاینده متنوع
- مقاومت بالای مخازن پلیمری و فلزی دارای رنگ اپوکسی و لوله و اتصالات در برابر خوردگی و پوسیدگی
- ذخیره انرژی و کاهش هزینهها در بلند مدت.

انواع فرآیندهای بیولوژیکی در پکیج تصفیه فاضلاب
به صورت کلی تصفیه فاضلاب به دو روش هوازی و بی هوازی از لحاظ نوع فعالیت باکتریها تقسیم میشود. روش هوازی بعنوان روش پیشرفته تر محسوب میشود چون خروجی آن بدون رنگ و بو است. در فرایندهای بیولوژیکی تصفیه فاضلاب از میکروارگانیسمها استفاده میشود. این روش از نظر حضور و یا عدم حضور اکسیژن در فرآیند به دو دسته کلی روشهای هوازی (در حضور اکسیژن) و بیهوازی (عدم حضور اکسیژن) تقسیمبندی میشود.
پکیج تصفیه فاضلاب لجن فعال اختلاط کامل (CMAS)
فرآیند لجن فعال با اختلاط کامل (CMAS) یکی از انواع فرآیند لجن فعال است که جریان فاضلاب در آن بصورت ناپیوسته میباشد. در این فرآیند به منظور حذف مواد درشت قابل ته نشینی و جلوگیری از اعمال باراضافه به سیستم تصفیه قبل از مخزن هوادهی از یک مخزن ته نشینی استفاده میشود که به آن مخزن ته نشینی اولیه می گویند. جریان فاضلاب در فرایند لجن فعال با اختلاط کامل بصورت مداوم و پیوسته میباشد.
در این فرآیند جهت حذف مواد درشت و معلق قابل ته نشینی از یک مخزن ته نشینی اولیه استفاده میشود. جهت ثابت نگه داشتن غلظت مواد محلول در فاضلاب در بخشهای مختلف مخزن هوادهی، توسط یک همزن یا میکسر، اختلاط فاضلاب صورت می گیرد. از فواید وجود همزن و اختلاط همگن در این فرایند می توان به این نکته اشاره کرد که درصورت ورود دبی بالای فاضلاب ناگهانی به سیستم، از هرگونه بروز شوک آلی به سیستم جلوگیری شده و نوسانات جریانی، خنثی خواهد شد.

دستگاه تصفیه فاضلاب متعارف جریان نهرگونه (CPFAS)
از میان تمام انواع فرآیندهای لجن فعال مورد استفاده در دستگاه تصفیه فاضلاب، فرآیند لجن فعال متعارفی با جریان قالبی بیشترین کاربرد را در تصفیه انواع فاضلابها و به خصوص فاضلابهای شهری دارد. به همین سبب گاهی به اختصار به آن لجن فعال متعارفی می گویند.
در این فرآیند همانند فرآیند اختلاط کامل (CMAS)، قبل از مخزن هوادهی از یک واحد ته نشینی اولیه استفاده میشود. به علاوه در مخزن هوادهی دیوارهایی تعبیه می گردد که به کمک آنها مخزن هوادهی بصورت یک کانال با عرض کم و طول زیاد درمی آید. همین مسئله سبب میشود که رژیم جریان در مخزن هوادهی از اختلاط کامل به قالبی (نهرگونه) تبدیل شود.
فاضلاب از ابتدای کانال پکیج تصفیه فاضلاب وارد شده و پس از گذر از طول کانال وارد مخزن ته نشینی نهایی میشود. به همین دلیل در ابتدای مسیر به علت بالا بودن مواد آلی و الاینده نیاز به اکسیژن زیادی بوده و به تدریج با جذب این مواد در طی مسیر کانال اکسیژن خواهی نیز کاهش می یابد. در طراحی سیستم هوادهی باید این نکته در نظر گرفته شود که امکان تنظیم میزان تزریق هوا در طول کانال فراهم باشد. در عمل به این دلیل که سیستم هوادهی باعث ایجاد اختلاط نسبی میشود، جریان قالبی ایده آل وجود ندارد. در واقع رژیم جریان در فرآیند لجن فعال متعارفی ترکیبی از اختلاط کامل و قالبی است.
از عمده ترین مزایای فرآیند لجن فعال متعارفی با جریان قالبی (CPFAS) میتوان به نکات زیر اشاره کرد:
- در انواع سیستمهای تصفیه فاضلاب قابل استفاده است.
- در اکثر فرایندهای سیستم لجن فعال، به عنوان فرایند پایه محسوب میشود.
- قابلیت تبدیل به بسیاری از انواع فرآیندهای لجن فعال را داراست.
اصلی ترین محدودیتها و معایب استفاده این فرآیند نیز عبارتند از:
- طراحی آن در شرایط هوادهی جریان قالبی پیچیده تر و مشکل تر از فرآیند اختلاط کامل است.
- تنظیم مقدار اکسیژن تزریقی با مقدار اکسیژن مورد نیاز به سادگی امکانپذیر نیست.
- بهره برداری از آن نسبت به فرآیند اختلاط کامل مشکل تر است.
ذکر این نکته ضروری میباشد که از نظر عملی در پکیج های تصفیه فاضلاب دستیابی به جریان اختلاط کامل و یا نهرگونه به صورت 100 درصد امکان پذیر نمیباشد. لذا همواره در محاسبات هیدرولیکی حالت بینابین لحاظ می گردد.

سیستم تصفیه فاضلاب لجن فعال با هوادهی گسترده (EAAS)
این روش تصفیه یکی از انواع فرآیندهای اصلاح شده فرآیند لجن فعال است که در آن جهت کاهش میزان لجن تولید شده، اصلاحاتی صورت گرفته است. از جمله این موارد میتوان به حذف واحد ته نشینی اولیه اشاره کرد. فرایند لجن فعال با هوادهی گسترده که غالباً در تصفیه خانههای کوچک به کار گرفته میشود شامل یک استخر هوادهی و استخر ته نشینی است. مخلوط لجن از استخر هوادهی به استخر ته نشینی، که در آن لجن از پساب جدا میشود، منتقل می گردد.
اساس کار در فرآیند لجن فعال هوازی، شامل هوادهی فاضلاب خام در مجاورت میکروارگانیسمها در حوضچه هوادهی و سپس جداسازی جرم میکروبی از فاضلاب هوادهی شده در حوضهای ته نشینی و به دست آوردن پساب تصفیه شده است. در این نوع دستگاه تصفیه فاضلاب برای جلوگیری از ورود ذرات خارجی به هوادهی و سایر واحدهای تصفیه خانه آشغالگیر به آن افزوده گردیده است و حجم مخزن هوادهی حدود دو تا چهار برابر بزرگتر شده که به تبع آن زمان ماند هیدرولیکی (HRT) و عمر لجن (SRT) افزایش یافته است.
این تغییرات باعث کاهش قابل ملاحظه مقدار لجن دفعی گردیده است. انعطاف پذیری و پایداری این سیستم سبب شده است كه امروزه در كشور ما بطور گسترده ای از این روش برای تصفیة انواع فاضلابهای بهداشتی و صنعتی استفاده شود. پکیج تصفیه فاضلاب انسانی از روشهای هوازی استفاده میکند و اساس کار آن اکسیژن رسانی به فاضلاب به منظور فعالیت هرچه بهتر میکرو ارگانیزمهای موجود در فاضلاب است.
پکیج تصفیه فاضلاب لجن فعال تثبیت تماسی (CSAS)
در این فرآیند از دو مخزن تماس و تثبیت برای انجام فعالیتهای بیولوژیکی استفاده میشود. فاضلاب پس از ته نشینی اولیه ابتدا وارد مخزن تماس شده و در دسترس باکتریها قرار می گیرد. به منظور جلوگیری از رشد باکتریهای رشته ای غلظت لجن مخزن تماس کمتر از مخزن تثبیت است. در مخزن تماس BOD محلول تجزیه شده و همچنین کلوئیدها و مواد معلق جذب لخته میکروارگانیسمها میشوند تا در مخزن تثبیت تجزیه گردند.
با تنظیم دبی لجن برگشتی، در مخزن تثبیت غلظت باکتریها افزایش می یابد. به دلیل کاهش غلظت باکتریها در فرآیند تثبیت تماسی بیش از غلظت مورد استفاده در فرآیندهای لجن فعال متعارفی، حجم مورد نیاز برای واحد هوادهی کاهش می یابد. در جدول زیر موارد کاربرد فرآیند تثبیت تماسی به همراه علت کاربرد آن آمده است. در فرآیند تماس تثبیت اگر حجم کافی در مخزن تثبیت فراهم گردد تا سن بالای لجن قابل دستیابی باشد، امکان انجام نیتریفیکاسیون نیز در این فرایند وجود خواهد داشت.

دستگاه تصفیه فاضلاب صفحات بیولوژیکی چرخان (RBC)
برخلاف فرآیند لجن فعال که در آن باکتریها در درون فاضلاب غوطه ورند در این فرآیند باکتریها به یکسری از صفحات چرخان چسبیده و بر روی آنها فعالیتهای بیولوژیکی خود را که منجر به تصفیه فاضلاب میشوند، انجام میدهند. سیستم RBC از چندین صفحه یا دیسک موازی با هم که به وسیله شفتی به موتور متصل میشوند تشکیل شده است. اساس کار این روش “فرآیند رشد چسبیده” است که ممکن است به صورت هوازی یا بی هوازی مورد استفاده و بهره برداری قرار بگیرد.
طراحی RBC ها بر اساس میزان بار آلی (BOD) فاضلاب ورودی انجام میشود و هزینه بهره برداری از آن نسبت به دیگر سیستمهای متعارف بالاتر است. در این سیستم تنها 35 الی 45 درصد از سطح صفحهها داخل فاضلاب قرار میگیرد و همچنین سرعت چرخش دیسکها و صفحهها با توجه به ماهیت فاضلاب ورودی بین 1 الی 5 دور در دقیقه انتخاب میشود.
از مهمترین مزایا و ویژگیهای پکیج تصفیه فاضلاب RBC میتوان به موارد زیر اشاره کرد:
- کاهش زمین مورد استفاده
- کاهش برق مصرفی
- افزایش مقاومت در برابر شوکهای هیدرولیکی، شوکهای آلی و سمی
- تسریع در شکلگیری تودهی بیولوژیکی جهت عملیات تصفیه
- پایین بودن شاخص حجمی لجن (SVI) در واحد تهنشینی ثانویه
- مورد استفاده در تصفیه فاضلابهای صنعتی
پکیج تصفیه فاضلاب راکتور ناپیوسته متوالی (SBR)
در پکیجهای تصفیه فاضلاب با سیستم SBR تمامی مراحل عمل تصفیه در یك مخزن و در قالب 5 مرحله زیر بهصورت متوالی انجام میشود. به این مدل سپتیک تانک پیشرفته نیز گفته می شود.
- پر شدن
- واکنش هوادهی
- تهنشینی (رسوبگذاری و زلال سازی)
- تخلیه (حذف مکانیکی آب از جامد)
- آرامش و سکون
بهره برداری از SBR راکتور بدون ته نشینی ثانویه میباشند و در نتیجه برگشت لجن وجود ندارد. انواع راکتورهای چرخه ای که در طی دو دهه اخیر به بازار آمده اند از لحاظ سیستم تغذیه و روشهای تخلیه طبقه بندی میشوند. سه طبقه بندی رایج عبارتند از:
- تغذیه پیوسته
- تخلیه متناوب
- تغذیه متناوب
در میان این سه مورد ذکر شده دو مورد اول از لحاظ اصول اجرایی مشابه بوده و در آسیا متداول میباشند.
راکتورهای سیستم تغذیه پیوسته در قسمت ورودی فاضلاب تصفیه نشده در مرحله تخلیه میباشد که در نتیجه ممکن است راکتور به صورت جلوگیری از خروج دو محفظه در نظر گرفته شود. تجهیزات به کار رفته در دو نوع راکتور اول مشابه است. گر چه جزئیات چیدمان و تعداد اجزای مورد نیاز ممکن است متفاوت باشند. راکتور SBR از دو جهت به نظر تجهیزات مورد استفاده با سایر فرآیندهای لجن فعال متفاوت است.
پکیج تصفیه فاضلاب بیوراکتور غشایی (MBR)
بیوراکتور غشایی ترکیبی از یک فرآیند غشایی مانند میکروفیلتراسیون یا الترافیلتراسیون با یک راکتور رشد معلق بوده که امروزه بهطور گستردهای در تصفیه پسابهای شهری و صنعتی استفاده میشود MBR ها به دو نوع اصلی تقسیم میگردند.
- داخلی (مستغرق): که در آن ممبرانها در داخل سیستم بوده و جزئی از خود راکتور میباشند.
- خارجی (جانبی): که در آن ممبرانها واحد فرآیندی مستقل بوده و نیازمند مرحله پمپاژ میباشد.
در این فرایند با جایگزینی واحد ته نشینی ثقلی و همچنین فیلتر شنی با سیستم جدا كننده ممبرانی، مزایای زیادی از قبیل پایداری در بهره برداری، كاهش لجن مازاد تولیدی و كیفیت بسیار بالاتر پساب خروجی و کاهش فضای اشغالی به میزان یک سوم لجن فعال متعارف، بدست می آید. بنابراین این سیستم، فرآیند مناسبی است كه می تواند در محدوده وسیعی برای سیستمهای استفاده مجدد از پساب تصفیه شده بكارگرفته شود.
مزایای پکیج تصفیه فاضلاب MBR عبارتند از:
- نیاز به فضای کمتر
- تصفیه باکیفیتتر که مهم ترین ویژگی آن است. (BOD کمتر از 5 میلی گرم در لیتر)
- بروزرسانی تصفیه خانه فاضلابهای قدیمی توسط آن.
پکیج تصفیه فاضلاب IFAS
در این پکیجها علاوه بر رشد معلق، باکتریها میتوانند با چسبیدن بر روی یک سطح (مدیا) رشد چسبیده نیز داشته باشند. به همین دلیل به فرآیند IFAS فرآیند دوگانه نیز گفته میشود چرا که در این سیستم هم رشد معلق و هم رشد چسبیده صورت می پذیرد.
مدیاها معمولاً از قطعات اسفنجی یا مواد پلاستیکی ساخته میشوند که دارای چگالی نزدیک به آب هستند که به آنها مدیا یا حامل بیوفیلم گفته میشود. چگالی مدیاهای مورد استفاده درون تصفیه خانه فاضلاب کمتر از چگالی آب است بطوریکه به راحتی امکان غوطه ور شدن در فاضلاب را دارند. نیروی لازم جهت اختلاط و غوطه وری این مدیاها توسط سیستم هوادهی عمقی یا همزنهای مکانیکی تأمین میشود. البته برخی از مدیاها در ابعاد بزرگ به گونه ای ساخته میشوند که میتوان آنها را در مخزن هوادهی بصورت ثابت نصب کرد که به آنها مدیاهای ثابت گفته میشود.
ویژگی مهم این فرآیند مقاومت بالای آن در مقابل شوک مواد آلی به جهت بیوفیلم تشکیل شده برروی سطح مدیا میباشد که انتخاب بسیار مناسبی در پکیجهای تصفیه فاضلاب بیمارستانی میباشد.

دستگاه تصفیه فاضلاب UASB
فرایند UASB به معنای پتوی لجن بی هوازی با جریان رو به بالا است که یکی از مهمترین روشهای بی هوازی بیولوژیکی در تصفیه انواع سیستمهای تصفیه فاضلاب به خصوص فاضلابهای صنعتی است. راندمان تصفیه این روش 95-85% در پارامتر COD در دمای 40-30 درجه سانتیگراد میباشد. از راکتور UASB برای تصفیه انواع فاضلابهای صنعتی به خصوص صنایع لبنی، خمیرمایه، نوشابه سازی و فرآوری شکر استفاده میشود.
پکیج تصفیه فاضلاب UASB شامل یک راکتور بی هوازی است که جریان فاضلاب از قسمت پایین آن وارد شده و در حین حرکت رو به بالای خود با پتوی لجن (شامل توده میکروارگانیسمها) تماس می یابد. این تماس سبب جذب مواد آلی فاضلاب توسط میکروارگانیسمها و تجزیه آنها طی فرآیندهای بیولوژیکی میشود. به علت عدم وجود اکسیژن محلول در راکتور UASB کلیه فرآیندهای بیولوژیکی در آن از نوع بیهوازی خواهد بود.
یکی از مهمترین نتایج انجام فرآیندهای بیولوژیکی بیهوازی تولید مقادیر زیادی از انواع گازها به خصوص گاز متان (CH4) میباشد. از این رو در هر راکتور UASB سیستمی برای جمع آوری گازهای تولیدی در اثر فرایند بی هوازی وجود دارد. به علت آنکه این گازها در نتیجه فعالیتهای بیولوژیکی است به آنها بیوگاز نیز گفته میشود. در راکتورهای بزرگ درون پکیج تصفیه فاضلاب به سبب آنکه حجم بیوگاز تولیدی بالا است، گاهی از آنها به عنوان سوخت جهت تامین انرژی استفاده میشود.
بطور کلی به ازای هر کیلو COD حذف شده در فرآیند UASB حدود 4/0 مترمکعب گاز متان تولید میشود که این مقدار قابل توجه بوده و از آن میتوان جهت تامین انرژی در صنایع مختلف استفاده نمود.
این فرآیند نیاز به تصفیه تکمیلی جهت حصول استانداردهای محیط زیستی دارد. کارشناسان اغلب با فرآیند ازن زنی در کنار UASB بیشترین راندمان تصفیه را در دستگاههای تصفیه فاضلاب صنعتی ایجاد نموده اند.
پکیج فاضلاب مبتنی بر رشد چسبیده روی بستر معلق (MBBR)
در بین روشهای معمول تصفیه بیولوژیکی، روش MBBR روشی بسیار موثر در تصفیه فاضلاب به شمار می آید. استفاده از این روش تصفیه فاضلاب برای حذف مواد آلی در پکیج تصفیه فاضلاب دارای کاربرد بالایی است و فرآیند مذکور به سرعت مواد آلی قابل تجزیه بیولوژیکی را کاهش میدهد. نیاز هرچه بیشتر به کیفیت بالاتر برای پساب خروجی جهت حفاظت و نگهداری آبهای سطحی موجب گرایش هر چه بیشتر به این سیستم گشته است.
سیستم تصفیه فاضلاب MBBR که یك راكتور بیوفیلم با بستر متحرك میباشد شامل افزودن قطعات كوچك حامل به شكل استوانه از جنس تكنولوژی پلی اتیلن (مانند MF یا UF) در حوضهای هوادهی یا غیر هوادهی است كه به رشد بیوفیلم کمک میکند. حاملهای بیوفیلم با استفاده از یك صفحه سوراخدار در خروجی تانك حفظ می شود. تلاطم هوا یا اختلاط دهندهها بنحوی بكار برده می شود كه بستر بطور پیوسته در حال گردش باشد. بستر ممكن است 25 تا 50 درصد حجم تانك را اشغال كند. مساحت سطح ویژه بستر تقریباً 500 متر مربع به ازای هر متر مكعب حجم بستر حجیم می باشد.
دستگاه تصفیه فاضلاب MBBR به جریان لجن برگشتی یا بکواش نیاز ندارد. همچنین در این روش با كاهش بارگذاری مواد معلق جامد در بسترهای زلال ساز موجود، امکان ارتقاء طرح را فراهم می كند. حضور مواد بستر باعث می شود از تجهیزات هوادهی شامل دیفیوزرهای Fine bubble استفاده نشود زیرا نیازمند تخلیه دوره ای هواده و حذف بستر برای تمیز كردن دیفیورز است. اولین مورد كاربرد متداول تصفیه فاضلاب MBBR، طراحی برای حذف BOD، نیتریفكاسیون و دنیتریفیكاسیون می باشد.
طی فرآیند نیتریفیکاسیون و دنیتریفیکاسیون شاهد حذف نیتروژن آلی به صورت خروج گاز ازت از فاضلاب می باشیم.

پکیج تصفیه فاضلاب صنعتی
اکثر کارخانهها و کارگاههای تولیدی انواع پساب تولید می کنند و یکی از بهترین راهکارها برای تصفیه پسابهای تولید شده در صنایع، استفاده از پکیج تصفیه فاضلاب صنعتی است. حجم فاضلاب صنعتی تولیدی توسط کارخانهها و کارگاهها بسیار زیاد است و پس از تصفیه شدن و گندزدایی میتوان از پساب تصفیه شده استفاده مجدد نمود. با تصفیه فاضلاب صنعتی میزان زیادی از آلودگی آنها شامل میکروبها، باکتریها، آلایندهها و مواد آلی مضر موجود در فاضلاب حذف و از بین می روند.
در کشورهای پیشرفته نیمی از آب توسط کارخانجات و کارگاههای صنعتی مصرف میشود. فلزات سنگین اگر با فاضلاب صنعتی وارد طبیعت و محیط زیست شوند، سلامت انسانها و جانداران را به خطر می اندازند و از طرفی باعث رسوب دهی و تولید لجن فعال میشوند. دستگاه تصفیه فاضلاب صنعتی در صنایع بسیاری کاربرد دارد که در زیر به تعدادی از این صنایع اشاره شده است.
- صنعت کاغذ سازی و مقوا سازی
- معدن
- نفت و پتروشیمی
- صنایع غذایی
- آهن و فولاد
- چرم سازی
- نساجی
- کارخانههای تولید لبنیات (اطلاعات کامل در پکیج تصفیه فاضلاب صنایع لبنی)
- کارواشها
- کارگاهها و کارخانههای تولید مواد شوینده و بهداشتی
- کارخانجات تولید دارو (اطلاعات کامل در پکیج تصفیه فاضلاب داروسازی)
- کارخانههای تولید فرآوردههای گوشتی مانند سوسیس و کالباس و…

شاخصهای عمومی تصفیه فاضلابهای صنعتی عموماً به سه بخش مشخصههای فیزیکی، شیمیایی و بیولوژیکی تقسیم بندی میشود.
- مشخصههای فیزیکی شامل رنگ، کدورت، دما، بو و مواد جامد.
- مشخصههای شیمیایی شامل مواد آلی، کربوهیدراتها، روغن و گریس، سموم، فنلها، پروتئینها، سورفاکتانتها و مواد غیر آلی شامل قلیاها، کلریدها، فلزات سنگین، نیتروژن، فسفر، گوگرد و گازها شامل هیدروژن سولفید، متان و اکسیژن میباشد.
- مشخصههای بیولوژیکی شامل کل باکتریها، کل کلیفرمها، تخم انگلها و عوامل بیماریزا.
پسابهای صنعتی مایع با توجه به ویژگیهای زیر برای دفع تقسیم بندی میشوند:
- اکسیژن مورد نیاز زیستی (BOD)
- اکسیژن مورد نیاز شیمیایی (COD)
- کل کربن آلی (TOC)
- روغن و گریس آزاد (FOG)
- غلظت ترکیبات آلی خاص همچون بنزن، تولوئن، اتیل بنزن، گزیلن، سوخت دیزل و بی فنولهای پلی کلره.
مواردی که در بالا به آنها اشاره شد میتوانند به شکل مایع، ماده آبکی یا گل و لای بوده و بیش از یک نوع فرایند تصفیه ای نیاز داشته باشند.
پیشنهاد برای شما: فیلتر شنی

هوادهی در پکیج تصفیه فاضلاب
هوادهی فاضلاب فرایند اضافه کردن هوا به فاضلاب است تا تخریب زیستی هوازی اجزای آلاینده را فراهم کند. این بخشی جدایی ناپذیر در اکثر سیستمهای تصفیه فاضلاب بیولوژیکی است. برخلاف تصفیه شیمیایی که از مواد شیمیایی برای واکنش و تثبیت آلایندهها در جریان فاضلاب استفاده میکند، تصفیه بیولوژیکی از میکروارگانیسمهایی که بطور طبیعی در فاضلابها وجود دارند برای تخریب آلایندههای فاضلاب استفاده میکند.
بطور معمول، اکسیژن مورد نیاز برای تجزیه محتویات آلی فاضلاب در پکیج تصفیه فاضلاب با استفاده از هوادهی سطحی یا هوادهی عمقی (پخشی) تامین میشود.
به طور تئوری مقدار هوای مورد نیاز در دمای t با استفاده از رابطه زیر محاسبه میشود:

این نکته را باید اضافه کنیم که مقدار هوای واقعی مورد نیاز بر اساس بازده انتقال جرم در سیستم هوادهی در پکیجها محاسبه میشود و این مطلب برای سیستمهای مختلف هوادهی در زیر آمده است.
سیستمهای هوادهی عمقی (پخشی)
در مورد سیستمهای هوادهی عمقی در پکیج تصفیه فاضلاب معمولا بازده انتقال جرم 8% و فاکتور اطمینان 2 برای هوادهها در نظر گرفته میشود. بنابراین برای این نوع سیستم هوادهی، مقدار هوای مورد نیاز از رابطه زیر محاسبه میشود.

بازده پخش کنندهها برای انتقال اکسیژن از هوای محیط به درون فاضلاب در پکیج تصفیه فاضلاب به عواملی مانند اندازه و نوع پخش کننده، کیفیت فاضلاب، شدت جریان هوا، عمق فرو روی، بازده دمنده، پیکربندی لولهها، جنس لوله، نوع تشکیل حبابها و… بستگی دارد. لوله پلی اتیلن سنگین سوراخ دار لوله ای هستند که بطور معمول برای هوادهی با حباب درشت مورد استفاده قرار می گیرد.
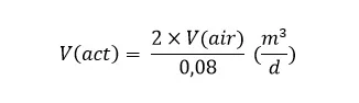
سیستمهای هوادهی سطحی
در این مورد، هوادهی بطور مستقیم و با استفاده از دستگاههای مکانیکی انجام می گیرد. مقدار اکسیژن منتقل شده از هوا به درون فاضلاب به ازای هر واحد هوای تزریق شده به عوامل بسیاری بستگی دارد. بنابراین در عمل این نوع سیستمها در پکیج تصفیه فاضلاب طوری طراحی میشوند که هوادههای لازم بر اساس ویژگیهای اظهار شده توسط تولید کننده در مورد سرعت انتقال اکسیژن، که در شرایط استاندارد دمایی (20 درجه سانتیگراد) در آب بدون اکسیژن محلول آزمایش شده است، فراهم شوند.
مقدار اکسیژنی که تحت شرایط عملیاتی انتقال پیدا میکند از رابطه زیر قابل محاسبه است.

که در رابطه بالا:
- (O2(act = سرعت واقعی انتقال اکسیژن تحت شرایط عملیاتی تصفیه.
- (O2(theo = سرعت تئوری انتقال اکسیژن تحت شرایط استاندارد (20 درجه سانتیگراد و مقدار اکسیژن محلول برابر صفر).
- α = ضریب تصحیح سرعت انتقال اکسیژن برای فاضلاب مورد نظر.
- F = فاکتور گرفتگی مربوط به پخش کنندهها در هوادهی عمقی که معمولا بین 0.65 تا 0.9 است.
- β= فاکتور تصحیح شوری که معمولا برابر یک است.
- (CS(tempalt =غلظت اشباع اکسیژن محلول در دما و ارتفاع مورد نظر.
- CL = غلظت اکسیژن محلول درون راکتور.
- T = دمای عملیاتی بر حسب درجه سلسیوس.
- (20)CS = غلظت اشباع اکسیژن محلول در 20 درجه سانتیگراد و فشار 1 اتمسفر.

محاسبه ظرفیت پکیج تصفیه فاضلاب
میزان تولید فاضلاب شهری و بهداشتی در هر جامعه ای به میزان مصرف آب در آن جامعه و پارامترهای اقلیمی، اقتصادی، فرهنگی، اجتماعی و سطح بهداشت و زندگی مردم وابسته است و به دنبال افزایش مصرف آب، میزان تولید فاضلاب نیز افزایش می یابد.
به دلایلی مانند جلوگیری از آلودگی محیط زیست و لزوم استفاده مجدد از آب سبب شده است که امروزه تصفیه فاضلابهای بهداشتی از اهیمت ویژه ای برخوردار شوند و فاضلاب جمع آوری شده و پساب از خانهها، ادارات و صنایع، قبل از ورود به آب، زمین یا استفاده مجدد آن، به تاسیسات تصفیه خانه فاضلاب تخلیه میشوند.

یکی از مهم ترین بخشهای طراحی یک سیستم تصفیه فاضلاب، انتخاب نوع فرایند تصفیه و ظرفیت مورد نیاز میباشد که اشتباه در آن باعث خسارات مالی و زمانی جبران ناپذیر میشود. از این رو باید به عوامل موثر در آن توجه شود. از مهمترین عوامل میتوان به حجم فاضلاب، آنالیز کیفیت فاضلابها (مخصوصا دو شاخص مهم BOD5 و COD)، راندمان مورد نیاز جهت تصفیه و… اشاره کرد.
برای محاسبه ظرفیت پکیج تصفیه فاضلاب باید از حجم تولیدی فاضلاب در طول شبانه روز اطلاعات کافی در اختیار باشد. می توان با توجه به نوع کاربری ساختمان و تعداد افراد ساکن در آن با استفاده از جداول ذیل این اطلاعات را استخراج کرد.

جنس بدنه پکیج تصفیه فاضلاب
پکیجهای تصفیه فاضلاب به لحاظ جنس بدنه ای که تجهیزات هوادهی و تصفیه درون آن قرار می گیرد به سه دسته کلی تقسیم می گردد.
پکیج تصفیه فاضلاب فلزی
در این نوع سیستم تصفیه فاضلاب بدنه اصلی دستگاه از ورق فولادی سیاه به همراه سه لایه رنگ امیزی اپوکسی تولید می گردد. ضخامت بدنه و ضخامت ورق کف بر اساس درخواست کارفرما قابل تغییر میباشد. بزرگ ترین مزیت پکیج تصفیه فاضلاب فلزی قیمت مناسب تر و همچنین هوادهی یکنواخت فاضلاب میباشد.
ایراد اصلی پکیج تصفیه فاضلاب فلزی که هم اکنون بسیاری از کارفرمایان، مهندسین مشاور و خریداران سیستمهای تصفیه فاضلاب هوازی را به سمت نمونه دیگر سوق داده است زنگ زدن بدنه دستگاه بدلیل اسیدی بودن پساب میباشد. برای این منظور اصولا شرکتهای سازنده از سه لایه رنگ اپوکسی در بیرون دستگاه و سند بلاست نمودن قسمت درونی دستگاه اکتفا می نمایند.

پکیج تصفیه فاضلاب پلی اتیلنی
جنس بدنه پکیج تصفیه پلی اتیلن از جنس لوله های کاروگیت است و در محل کارخانه طراحی و به صورت ماژولار ساخته می شوند. سپس به محل پروژه حمل و در آنجا نصب میشوند و حتی در صورت لزوم در زیر زمین مدفون می شوند. برای مناطقی که دارای رطوبت بالاتری هستند، به دلیل عدم وجود مشکلات زنگ زدگی و خوردگی، استفاده از این پکیجها بسیار مفید خواهد بود.
از تجربیات موفق گروه صنعتی ناب زیست در دهه اخیر، استفاده از مخزن پلی اتیلن برای ساخت پکیجهای پیش ساخته تصفیه فاضلاب میباشد. این پکیج ها با راندمان تصفیه بسیار بالا، یک خروجی استاندارد برای تخلیه پساب به محیط زیست، یا استفاده مجدد جهت مصارف کشاورزی ارائه میکنند. از این سیستمها میتوان برای تصفیه پساب از 5 تا 500 متر مکعب فاضلاب استفاده کرد. در صورت نیاز به حجمهای بالاتر میتوان چند پکیج را به صورت موازی طراحی و اجرا کرد.
بزرگ ترین مزیت طراحی و ساخت پکیج تصفیه فاضلاب پلی اتیلن شاید مقاومت بالای پلی اتیلن در برابر خاصیت اسیدی فاضلاب و مدفون شدن آن و نهایتا کاهش فضای مورد نیاز برای راهبری از پکیج باشد. در تعیین قیمت این پکیجها عوامل همچون کیفیت پلی اتیلن مورد استفاده در ساخت، ضخامت دیواره و بدنه، روش و فرآیند مورد نیاز برای تصفیه، نوع استاندارد خروجی فاضلاب، میزان کیفیت و برند قطعات و تجهیزات الکترومکانیکال و ظرفیت ورودی فاضلاب تاثیرگذار هستند.

مهمترین مزایای پکیجهای تصفیه فاضلاب پلی اتیلنی نسبت به نمونه فلزی عبارتند از:
- عمر بسیار بالا (بیش از 50 سال)
- بهره برداری و نگهداری آسان
- عدم نیاز به ساخت فونداسیون، اتاقک و ساپورت جهت دفن مخزن
- قابلیت طراحی و ساخت در ظرفیتهای مختلف
- هزینه پایینتر خرید و نگهداری نسبت به انواع دیگر سیستمهای تصفیه فاضلاب
- عدم نیاز به ایستگاه پمپاژ به علت مدفون بودن پکیچ
- قابل استفاده جهت انواع فاضلابهای انسانی و صنعتی
- امکان مدفون کردن پکیج در زیر زمین
- عدم نیاز به هزینه های رنگ آمیزی
- سرعت ساخت، نصب و راه اندازی بالا
- بدون نیاز به استفاده از مصالح بنایی
- عدم انتشار بوی نامطبوع
- دلیل دچار زنگ زدگی و پوسیدگی نمیشود
پکیجهای تصفیه فاضلاب کامپوزیتی
مخازن این پکیجها از مواد کامپوزیتی به همراه رزین و الیاف و به صورت مدولار در ابعاد و حجمهای مختلف تهیه می گردد. قیمت سیستم تصفیه فاضلاب کامپوزیتی نسبت به نمونههای بتنی، فلزی و پلی اتیلنی گران تر است و کاربرد اصلی آنها زمانی که مکان محل نصب دستگاه دارای آب و هوایی شرجی و یا بسیار گرم باشد.
همچنین زمانی که محدودیت فضایی وجود دارد و نیاز است مخازن بصورت دمونتاژ به محل پروژه منتقل شود و در فضایی محدود نصب گردد ضروری است مخزن فایبرگلاس برای ساخت بدنه پکیجهای تصفیه فاضلاب استفاده کنید.

راهبری و نگهداری پکیج تصفیه فاضلاب
فعالیتهای مرتبط با راهبری پکیج تصفیه فاضلاب به شرح زیر است:
- عملکرد دمندهها رو بصورت دوره ای را بررسی کنید.
- عملکرد دیفیوزرها را برای هر گونه حباب بررسی کنید.
- بررسی کنید مناطق ورودی و خروجی از زبالهها پاک بوده و هرگونه انسداد را برطرف کنید.
- بررسی کنید تهویه هوا بدون مانع است.
- رشد زیست توده را در محیط فیلتر بررسی کنید. زیست توده باید به رنگ قهوه ای روشن باشد، نه سفید یا خاکستری.
- بوی موجود در پکیج تصفیه فاضلاب باید خاک مانند باشد. و نباید بویی مانند تخم مرغ پوسیده باشد.
- پساب نهایی خروجی از دستگاه تصفیه فاضلاب را بررسی کنید. اگر ابر مانند باشد یا حاوی ذرات معلق زیادی باشد، احتمالاً مخزن ته نشینی نهایی نیاز به لجن زدایی دارد.
- فیلتر دمنده هوای بلوئرها باید هر 3 ماه یکبار بررسی شود و در صورت لزوم تمیز یا جایگزین شود، به خصوص در مکانهایی که مستعد شرایط گرد و غبار هستند.
- دیافراگمها باید هر 18 ماه تعویض شوند.
- توصیه میشود که برای حفظ عملکرد بهینه، هر سه سال یکبار جعبههای سوپاپ تعویض شود.
- سرویس کامل در تصفیه خانه فاضلاب باید هر 24 ماه یک بار انجام شود.
برای خدمات کامل، باید اطمینان حاصل شود که جنبههای زیر سیستم به درستی کار میکند:
- چک کردن تمام اتاقها برای آسیب.
- بررسی سیستم کامل هوا از جمله دمنده هوا و دیفیوزرها.
- بررسی مهر و موم درب و محفظه دمنده هوا.
- بررسی سیستم تهویه اتاقک پکیج تصفیه فاضلاب
- بررسی اتصالات الکتریکی در کارخانه

ساخت پکیج تصفیه فاضلاب
فاضلابها بسیار متنوع هستند و به همین دلیل فرایندهای تصفیه پسابها تنوع و پیچیدگی زیادی دارند. ساخت پکیجهای فاضلاب پس از بررسی دقیق کمی و کیفی فاضلاب و بر اساس نتایج آزمایش جارتست انجام میشود.
در صورتی که پساب به لحاظ بیولوژیکی قابل تجزیه توسط باکتریها باشد همچون فاضلاب های انسانی و بیمارستانی و یا صنایع غذایی از قبیل کشتارگاها، فراوردههای پروتئینی، صنایع شیر و لبنیات؛ پکیجهای تصفیه فاضلاب بهترین گزینه از لحاظ اقتصادی و کیفیت محسوب میشوند.
اما در صنایع شیمیایی، کارخانجات رنگرزی، آبکاری، تولید رنگ و مانند آن، به دلیل ماهیت شیمیایی و سمی محصولات و فاضلاب تولیدی، نیاز است از فرایندهای تصفیه شیمیایی به منظور پاکسازی آلایندهها استفاده شود. گاهی ممکن است جهت تصفیه مقدماتی و تکمیلی پسابها از روشهای کمکی دیگری نظیر چربی گیری، نیترات زدایی، فیلتراسیون نیز استفاده شود. همچنین میتوان از روشهای پیشرفته ای از قبیل اکسیداسیون با گاز ازن، یا جذب توسط کربن فعال و مواردی از این قبیل نیز بهره گرفت.

از دیگر موارد بسیار مهم در طراحی و ساخت پکیج تصفیه فاضلاب، جنس و متریال به کار رفته در ساخت اجزا و قطعات مختلف آن میباشد. در ساختار این دستگاهها در حالت کلی می توان مخزن، آشغالگیر مکانیکی، سیستمهای جمع آوری لجن، موتورهای الکتریکی، تابلوهای برق، لولهها و اتصالات وجود دارد.
با توجه به تماس زیاد مخزن با فاضلابی که دارای آلایندههای اسیدی است، در ساخت بدنه آنها از پروفیلهای فلزی کربن استیل با پوشش اپوکسی یا پلی اتیلن صلب یا کامپوزیت استفاده میشود. در انتها بمنظور آشنایی شما با برخی اصطلاحات مرتبط با ساخت پکیجهای تصفیه فاضلاب آنها را لیست نموده ایم.
- پمپ لجن کش: هر چه پکیجهای تصفیه خانه فاضلاب بزرگتر و پیشرفته تر شوند، تقاضا برای مقابله با مقادیر زیادی لجن نیز افزایش میابد که این یک عمل با هزینه و پیچیده است. پمپها باید تجمع مواد جامد را کنترل کنند و انتظار می رود عملکرد مداوم، قابلیت اطمینان و بازده انرژی بالا را فراهم کند. پمپاژ لجن ثانویه بخشی از فرآیند تصفیه خانه است. تصفیه لجن فاضلاب ممکن است ترکیبی از فرآیند ضخیم شدن، هضم و آبگیری باشد.
- ضخیم شدن لجن: ضخیم شدن معمولاً اولین قدم برای تصفیه لجن است زیرا کار با لجن نازک، دوغاب جامدات معلق در آب غیر عملی است. ضخیم شدن در مخزنی به نام ضخیم کننده انجام میشود. یک ضخیم کننده می تواند حجم کل لجن را به کمتر از نیمی از حجم اصلی کاهش دهد. در این روش حبابهای هوا مواد جامد را به سطح منتقل می کنند، جایی که لایه ای از لجن ضخیم تشکیل میشود.
- هضم لجن: هضم لجن یک فرآیند بیولوژیکی است که در آن مواد جامد آلی به مواد پایدار تجزیه میشوند. هضم باعث کاهش جرم کل مواد جامد و از بین رفتن پاتوژنها میشود و آبگیری یا خشک کردن لجن را آسان تر میکند. لجن هضم شده از نظر ظاهری و ویژگیهای یک خاک غنی را دارد.
- آبگیری لجن فاضلاب: لجن فاضلاب هضم شده معمولاً قبل از دفع آبگیری میشود. لجن آب شیرین هنوز حاوی مقدار قابل توجهی آب است – غالباً 70% – اما لجن با وجود این رطوبت دیگر به عنوان یک مایع رفتار نمیکند و می توان به عنوان یک ماده جامد از آن استفاده کرد. تختهای خشک کردن لجن ساده ترین روش آبگیری را ارائه می دهد. گزینههای دیگر برای خشک کردن لجن شامل فیلتر خلاء استوانه چرخشی، سانتریفیوژ و فیلتر پرس میباشد.
- بلوئر هوا: هوادهی مناسب و انتخاب بلوئر دو مورد از مهمترین ملاحظات در یک فاضلاب است. مصرف انرژی هوادهی در تصفیه خانه فاضلاب به طور معمول 60٪ از کل مصرف برق را مصرف میکند. دمندهها می توانند برخی از نیازهای انرژی را جبران کند. در حالی که هدف از بلوئر ایجاد جریان هوا اضافی است، هدف از کنترلهای دمنده فراهم کردن جریان صحیح هوا در هر زمان است که به نوبه خود باعث افزایش راندمان هوادهی میشود.
علاوه بر تطبیق جریان هوا با تقاضای موجود با کارآمدترین روش، سیستم کنترل دمنده همچنین تنظیمات بیشتری را انجام می دهد، مانند اجرای کمترین تعداد ماشین و اجرای آنها در بهترین راندمان. ارائه سطح صحیح اکسیژن در هر لحظه نیاز به تنظیم خودکار جریان دارد. بنابراین سیستمهای دمنده باید کارآمدتر، پایدار و سازگار با شرایط متغیر باشند. راه حلهای مختلفی می تواند این نوسانات را برطرف کند، از جمله مکش برقی، تنظیم درایوهای سرعت یا چرخه دمندههای مختلف. هدف کلی ارائه اکسیژن سازگاری با انرژی مقرون به صرفه است.

قیمت پکیج تصفیه فاضلاب
پارامترهای تاثیر گذار در محاسبه قیمت پکیج تصفیه فاضلاب به شرح زیر میباشد.
- کیفیت فاضلاب ورودی: کیفیت فاضلاب ورودی به دستگاه به چهار گروه عمده فاضلاب بهداشتی، کارواش، صنعتی و ترکیبی تقسیم بندی میشود. بالاترین قیمت مربوط به سیستمی است که فاضلاب صنعتی را تصفیه می نماید.
- دبی فاضلاب ورودی: دبی ورودی از 5 مترمکعب در شبانه روز آغاز و تا 1500 مترمکعب در روز قابل برنامه ریزی میباشد. برای دبی بیشتر از 2000 مترمکعب در روز یا باید بصورت بتنی تصفیه خانه ساخته شود یا در چند مدول توسط سازههای فلزی، کامپوزیتی و… می بایست تولید شوند. هرچه دبی بالاتر باشد قیمت سیستم تصفیه فاضلاب نیز بیشتر میشود. مزیت اصلی ساخت مدولار، قابلیت جابجایی و کنترل شوک هیدرولیکی میباشد.
- کیفیت آبی که کارفرما به آن نیاز دارد: کیفیت آبی که کارفرما از ما خواهد خواست به خروجی چاه جذبی، قابل سر ریز به رودخانهها، استفاده بمنظور آبیاری فضای سبز و شستشوی محوطه و ماشینها قابل تقسیم است. هر چه استاندارد پساب خروجی از دستگاه سختگیرانه تر باشد هزینه ساخت و قیمت پکیج تصفیه فاضلاب نیز افزایش می یابد.
- خشک یا مرطوب بودن مکان محل نصب: در مناطق شمالی کشور به علت رطوبت زیاد، نیاز به تدبیر لازم جهت حفاظت بدنه از خوردگیهای زیرسطحی (مانند افزایش ضخامت رنگ) میباشد. همچنین در مناطق سردسیر جهت حفاظت از یخ زدگی فاضلاب نیاز به پوشش مناسب بدنه میباشد.
- نوع فرآیند تصفیه: این فاکتور نیز در برآورد قیمت تاثیر گذار است. از جمله ملاکهای انتخاب فرآیند پکیجهای تصفیه فاضلاب میتوان به نوع و کیفیت فاضلاب ورودی، استانداردهای کیفی پساب خروجی (نوع مصرف)، مسائل اقتصادی و مدیریت پسماندهای تولیدی اشاره کرد.
به عنوان مثال فرآیند هوازی MBR به دلیل استفاده از ماژولهای MBR قیمت بالاتری نسبت به سایر فرآیندهای هوازی دارد. همچنین فرآیند MBBR به دلیل کاهش ابعاد مخازن هوادهی قیمت پایین تری نسبت به فرآیند تصفیه فاضلاب EAAS دارد. - جنس بدنه دستگاه: در نهایت یکی از مهمترین پارامترها در قیمت دستگاه تصفیه فاضلاب نوع سازه ای است که قرار است تجهیزات الکترومکانیکال درون آن قرار گیرد.
در صورتی که کارفرما فضای کافی نداشته باشد قطعا می بایست پکیج فاضلاب را بصورت دفنی درون زمین قرار داد. در این صورت جنس کامپوزیتی و یا پلی اتیلنی گزینه مناسبی خواهد بود. زیرا پکیج فلزی زنگ میزند و مقاومت مکانیکی مورد نیاز برای تحمل بارهای مرده درون خاک را ندارد.
سوالات متداول پکیج تصفیه فاضلاب (FAQ)
پکیج تصفیه فاضلاب، یک سیستم پیشساخته و قابل انتقال است که با بهرهگیری از مراحل فیزیکی، بیولوژیکی و ضدعفونی (مانند کلرزنی یا ازنزنی)، فاضلاب را تصفیه کرده و پسابی پاک و قابلاستفاده برای کشاورزی، آبیاری یا تخلیه به محیطزیست تولید مینماید.
در ایران کاربردهای آن شامل مجتمعهای مسکونی بزرگ، بیمارستانها، دانشگاهها، شهرکها، فرودگاهها و صنایع میشود.
روشهای رایج عبارتند از: تصفیه فیزیکی (تهنشینی، صافی)، بیولوژیکی (هوازی، بیهوازی، فرآیندهایی مانند MBR، IFAS، RBC، SBR) و ضدعفونی (کلرزنی، UV، ازنزنی)
حمل و نصب آسان، قابلجابجایی و سرعت در راهاندازی
بهصرفه در ظرفیتهای پایین (کمتر از 500m³/d) نسبت به سیستمهای بتنی
اشغال فضا، هزینه پایین تعمیرات، و امکان ارتقاء ظرفیت ساده
سازگاری با محیطزیست و کاهش آلایندهها
کیفیت و بار آلی پساب (شاخصهای BOD و COD)
توان ورودی فاضلاب (میزان دبی روزانه)
نوع مصرف پساب (آبیاری، سرریز به رودخانه، استفاده صنعتی)
جنس بدنه (پلی اتیلن، فلزی، کامپوزیتی)
فضای نصب و شرایط آبوهوایی منطقه
بررسی عملکرد دمندهها و دیفیوزرها بهطور منظم
اطمینان از پاکیزگی مسیر ورودی و خروجی
کنترل رشد زیستتوده (زیستتودهی سالم قهوهایرنگ)
تغییر دیافراگمها هر 18 ماه، و سوپاپها یا فیلترها هر 3 سال
بازدید کامل سیستم هر 24 ماه شامل قطعات الکتریکی، هوا، پوشش بدنه و… (مطابق محتوای شما)
CMAS: لجن فعال با اختلاط کامل و تهنشینی اولیه برای یکنواختی جریان
CPFAS: جریان قالبی (نهرگونه)، دارای مخازن طولانیتر و پیچیدهتر در هوادهی
EAAS: هوادهی گسترده، مناسب برای کاهش لجن و استفاده در ظرفیتهای کوچک
SBR: راکتور زمانبندیشده، شامل پر شدن، هوادهی، تهنشینی، تخلیه و آرامش
MBR: بایوراکتور غشایی، کیفیت بالای پساب و کاهش لجن، فضای کمتر
IFAS: ترکیب رشد معلق و چسبیده، مناسب برای مواجهه با شوکهای آلی
UASB: راکتور بیهوازی، تولید بیوگاز متان، کاربرد صنعتی
MBBR: رشد چسبیده روی حامل متحرک، بدون نیاز به برگشت لجن
بله. پکیجهای بهداشتی طراحیشده برای استفاده در محیطهای کوچک یا ویلاها بسیار مناسبند؛ کمجا، نصب آسان و بدون نیاز به تصفیهخانه مرکزی
پساب تصفیهشده معمولاً بیبو، زلال و تا حد زیادی عاری از آلودگی است و قابلیت استفاده برای کشاورزی، فضای سبز، آبیاری و تخلیه در محیط با رعایت استانداردهای محیطزیستی را دارد
فلزی: قیمت مناسب، هوادهی یکنواخت؛ اما مستعد زنگزدگی (حداکثر با پوشش اپوکسی)
پلی اتیلن: مقاوم در برابر خوردگی، مناسب برای مدفونسازی و مناطق مرطوب، با عمر بیشتر از 50 سال
کامپوزیتی: مناسب برای شرایط گرم و شرجی، سبک و قابل حمل، نصب در فضاهای محدود
طراحی پکیج بر اساس تحلیل دقیق کمّی (میزان فاضلاب روزانه، کیفیت، شاخصها مانند BOD5/COD) و کیفی، نوع مصرف، هزینههای اقتصادی و ویژگیهای محیطی انجام میشود. در برخی صنایع مانند شیمیایی یا رنگرزی ممکن است نیاز به تصفیه شیمیایی و تکمیلی مانند ازنزنی یا جذب کربن فعال نیز باشد.


شیخ بگلو –
سلام . تفاوت پکیج تصفیه فاضلاب با تصفیه خانه فاضلاب چیه . من متوجه نشدم .
در هر حال من کارخانه تولید عرقیات گیاهی دارم بعد از اینکه علوفه و گیاهان شسته میشن آب زیادی هدر میره .
چیکار کنیم بتونیم دوباره از اون پساب خروجی از کارخانه جهت شسشتشو استفاده کنیم و حداقل بتونیم گل و لای سبزه ها رو بگیریم ؟
من شیخ بگلو هستم از ارومیه
09141886152 شماره موبایل من هستش .
ناب زیست.م –
جناب شیخ بگلوی عزیز سلام . تصفیه خانه فاضلاب میشه ظرفیت های بالای پکیج های تصفیه فاضلاب . به کار شما همون پکیج تصفیه فاضلاب می خوره که من میگم همکاران دفتر فنی با شما تماس بگیرن .
استفاده از پساب خروجی از کارخانه مخصوصا برای شما که حجم آب مصرفی تون بالاست قطعا به مرور زمان هزینه های سرمایه گذاری اولیه رو مستهلک میکنه و قطعا به نفع شماست از پکیج تصفیه فاضلاب استفاده کنید .
مهاجرانی –
سلام. ما قالیشویی داریم در یزد. دم روز عید هستش و کلی سفارش گرفتیم. میخام آب خروجی رو تصفیه کنم. راهش چیه؟
مهاجرانی هستم من.
اگر ممکنه بفرمایید برای روزانه 100 مترمکعب آب من چقدر باید هزینه کنم تا بتونم از پسابش مجددا استفاده کنم؟
ممنونم
حتما تماس بگیرید و قیمت بفرمائید حیفه این همه آب هدر میره.
ناب زیست.م –
جناب مهاجرانی سلام . ممنون که احساس مسئولیت میکنی در خصوص آب مصرفی و مصرف رو بهینه میکنید . استفاده از پساب قالیشویی بهترین فکری هست که میتونی انجام بدی برای سرمایه گذاری در زمینه آب . آب بهای مصرفی روز به روز در حال افزایش هست و مطمئن باش بعد از دو سال پولی که قراره بزاری برای این کار بهت بر میگرده و تو میتونی بعد از اون از سود این کار هم منتفع بشی . علی ایحال کار تخصصی هست من هم شمارتون رو میدم واحد فنی در خصوص تصفیه خانه فاضلاب قالیشویی بهتون کمک کنن . ارادت کامله قربان .
انوری –
سلام . در خصوص نحوه هوادهی و چیدمان دیفیوزرها در پکیجهای تصفیه فاضلاب سوال دارم . امکان داره با من تماس بگیرید.
انوری – کرمان – 09171993999
آیا مخازن پلی اتیلنی دوجداره که سطح مقطع گرد دارن واقعا در هوادهی مشکل دارن یا تبلیغات منفی هست که سازندگان پکیج تصفیه فلزی علیه پکیج پلی اتیلنی فاضلاب می کنن ؟
ناب زیست.م –
سلام چشم میگم تماس بگیرن همکاران . ولی تا قبل از مشاوره با همکاران دفتر فنی که رایگان هست لطفا تصمیم نگیرید.
زینالزاده –
سلام
در خصوص احداث سیستم تصفیه فاضلاب مجموعه ورزشی آزادی نیاز به مشاوره و همفکری و در نهایت طرح و اجرا داریم
زینال زاده
۰۹۱۲۶۴۰۵۷۶۲
محمدر ضا تقی پور –
سلام
تقی پور هستم از شهرداری نیشابور
ظرفیت پیشنهادی پکیج تصفیه فاضلاب در مناطق مختلف شهری تفاوت دارند در این زمینه چه مطالعاتی باید انجام بدیم؟ و آیا ملاحظات زیست محیطی خاصی رو باید مد نظر قرار بدیم؟خروجی آب سیستم تصفیه رو برای آبیاری فضای سبز شهری نیاز داریم
شماره تماس 09151504485
ناب زیست.م –
سلام . اطاعت قربان میگم تماس بگیرن خدمت شما .
بهرام نوروزی –
باسلام،
من درحال احداث کارخانه لبنیات هستم ،برای نصب وجانمایی پکیج وحجم تصفیه فاضلاب با لیتراژ بالای۸۵۰۰مترمکعب درسال این دستگاه جواب میدهد،
شماره تماس بنده09155218867
(نوروزی)
باتشکر از شما.
ناب زیست.م –
خدمت تون تماس میگیرن فردا همکاران جناب نوروزی
پامناری –
سلام، مراحل تصفیه فاضلاب بهداشتی رو هم عنایت کنید توضیح بدید.
دیدم در مورد مراحل تصفیه فاضلاب صنعتی نوشته بودید.
ناب زیست.م –
سلام . چشم .
سحرزاده –
سلام در طراحی پکیج تصفیه فاضلاب بیمارستانی من تو مقالات تحقیقاتی خوندم میزان هوادهی و ماند رو دو برابر بهداشتی میگیریم. میشه این نتیجه رو گرفت میزان آلایندگی فاضلاب بیمارستان دو برابر پساب بهداشتی؟
ناب زیست.م –
سلام بله تقریبا همینی هست که که شما فرمودید.
وحید احمدی –
سلام
احمدی هستم کارشناس بهداشت محیط
اگه امکانش هست لطفا بفرمایید برای کارخانه صنایع غذایی با وسعت بالا و دارای چهار خروجی متفاوت با محصولات مختلف سالن های تولید با حجم فاضلاب حدودا 500 متر مکعب در روز با مشخصات چرب-اسیدی-Cod بالا(میانگین 40000 ) چه نوع تصفیه خانه ای مطلوبه و اینکه هزینه احداث چقدر هستش؟
ناب زیست.م –
قاعدتا باید به سراغ تصفیه خانه فاضلاب صنعتی برید شما. ولی من میگم همکارانم در واحد فنی با شما تماس بگیرن.
اکبری –
سلام،وقتتون بخیر
ببخشید برای یک مجموعه گردشگردی توصیه شما برای اجرای سیستم تصفیه فاضلاب پکیج تصفیه است یا تصفیه خانه
۰۹۲۱۰۱۸۰۰۱۶ اکبری
ناب زیست.م –
سلام بستگی به ظرفیت و فضای در اختیار دارد ولی تصفیه خانه بیشتر برای ظرفیت های بالای ۲۰۰ مترمکعب در روز کاربرد دارد
عبدالله بهمنی 09118675779 –
سلام وقت بخیر در خصوص تصفیه فاضلاب کارخانه روغن نباتی تجربه ایی داشتین و ایا ممکن است کل سیستم به صورت پکیجی باشد برای حدود 300متر مکعب در روز چه هزینه ایی داره ممنون میشم راهنمایی کنین
بهمنی
نعیم بنی سعید –
سلام
لطفا بفرمایید قیمت هر مترمکعب مدیای ثابت برای فرآیند IFAS چقدر است؟
ناب زیست.م –
پكينگ گام 19 با ضخامت 400 ميكرون براى تصفيه فاضلاب متر مكعبى 3 میلیون تومان مى باشد.